捷嘉 ·关注 | ①5月全国未准入境猪、牛、羊、禽、水产品共计176票②关于废止部分进口食品类规范性文件的公告

★ 目录 ★

01

关于防止拉脱维亚高致病性禽流感传入我国的公告

02

关于防止阿尔巴尼亚小反刍兽疫传入我国的公告

03

关于废止部分进口食品类规范性文件的公告

04

5月全国未准入境猪、牛、羊、禽、水产品共计176票

05

年中促销提振消费 屠企开工率回升

06

习近平会见新西兰总理拉克森

07

俄农产品出口发展中心主任:2025年前5个月俄对华农产品出口增长9%

08

俄农产品出口发展中心主任:到2030年俄农产品对华出口额或增至110亿美元

09

中欧就电动汽车反补贴案等贸易救济案件进行磋商

10

泰国国会主席兼下议院议长将访华

11

6月20日主产省集贸市场活牛价格环比下跌0.1%

01

海关总署 农业农村部公告2025年第124号

(关于防止拉脱维亚高致病性禽流感传入我国的公告)

近日,世界动物卫生组织(WOAH)发布信息,拉脱维亚发生H5N1亚型高致病性禽流感疫情。为防止疫情传入,保护我国畜牧业安全和生物安全,根据相关法律法规,现公告如下:

  一、禁止直接或间接从拉脱维亚输入禽及相关产品(源于禽未经加工或者虽经加工但仍有可能传播疫病的产品)。

  二、禁止寄递或携带来自拉脱维亚的禽及相关产品入境,一经发现一律作退回或销毁处理。

  三、来自拉脱维亚的进境船舶、航空器等运输工具上卸下的动植物性废弃物、泔水等,一律在海关的监督下作除害处理,不得擅自抛弃。

  四、对边防检查等部门截获的非法入境的来自拉脱维亚的禽及相关产品,一律在海关的监督下作销毁处理。

  五、凡违反上述规定者,由海关依照《中华人民共和国海关法》、《中华人民共和国生物安全法》、《中华人民共和国进出境动植物检疫法》及其实施条例有关规定处理。

  六、各级海关、各级农业农村部门要分别按照《中华人民共和国海关法》《中华人民共和国生物安全法》《中华人民共和国进出境动植物检疫法》《中华人民共和国动物防疫法》等有关规定,密切配合,做好检疫、防疫和监督工作。

  本公告自发布之日起实施。

  特此公告。


  海关总署 农业农村部

  2025年6月16日


02

海关总署 农业农村部公告2025年第125号

(关于防止阿尔巴尼亚小反刍兽疫传入我国的公告)

2025年6月5日,阿尔巴尼亚向世界动物卫生组织报告,该国斯库台州(Shkodër)发生小反刍兽疫。为防止疫情传入,保护我国畜牧业安全和生物安全,根据相关法律法规,现公告如下:

  一、禁止直接或间接从阿尔巴尼亚输入绵羊、山羊及其相关产品(源于绵羊、山羊未经加工或者虽经加工但仍有可能传播疫病的产品)。

  二、禁止寄递或携带来自阿尔巴尼亚的绵羊、山羊及其相关产品入境。一经发现一律作退回或销毁处理。

  三、来自阿尔巴尼亚的运输工具上卸下的动植物性废弃物、泔水等,一律在海关的监督下作除害处理,不得擅自抛弃。

  四、对边防检查等部门截获的非法入境的来自阿尔巴尼亚的绵羊、山羊及其相关产品,一律在海关的监督下作销毁处理。

  五、凡违反上述规定者,由海关依照《中华人民共和国海关法》、《中华人民共和国生物安全法》、《中华人民共和国进出境动植物检疫法》及其实施条例有关规定处理。

  六、各级海关、各级农业农村部门要分别按照《中华人民共和国海关法》《中华人民共和国生物安全法》《中华人民共和国进出境动植物检疫法》《中华人民共和国动物防疫法》等有关规定,密切配合,做好检疫、防疫和监督工作。

  本公告自发布之日起实施。

  特此公告。


  海关总署 农业农村部

  2025年6月17日


03

海关总署公告2025年第126号

(关于废止部分进口食品类规范性文件的公告)

根据工作需要,海关总署决定废止部分进口食品类规范性文件,具体文件目录见附件。本公告自发布之日起生效。

  特此公告。


  海关总署

  2025年6月19日


04

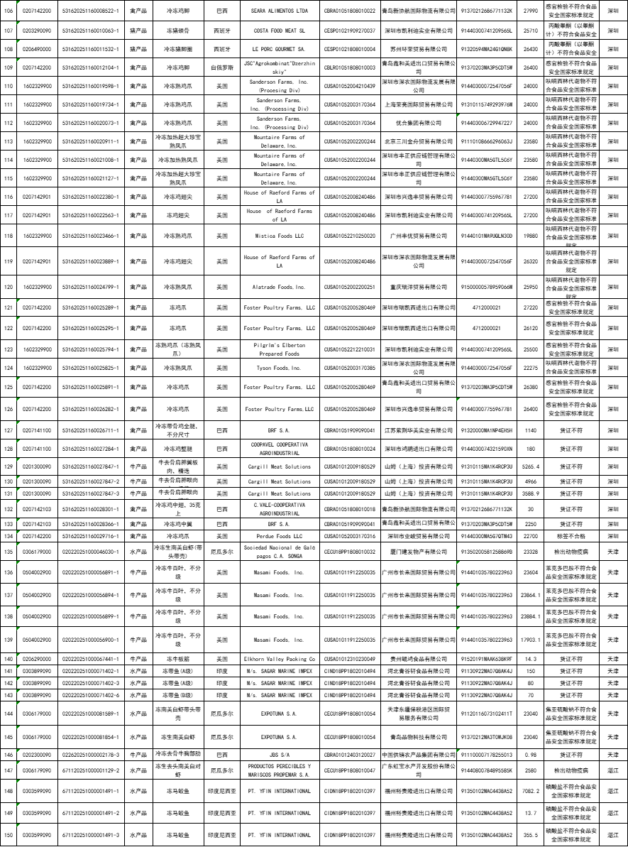
5月全国未准入境猪、牛、羊、禽、水产品共计176票

2025年5月全国海关在口岸监管环节检出安全卫生等项目不合格并未准入境食品已在口岸依法做退运或销毁处理。

海关总署进出口食品安全局于6月19日15点48分公布未准入境食品化妆品信息。

小捷特将未准入境的猪、牛、羊、禽、水产品筛选出来,以便大家查看~其中猪产品8票;牛产品45票;禽产品50票;水产品73票。


附表:


来源:进出口食品安全局

发布时间:2025年6月19日 15点48分


05

年中促销提振消费 屠企开工率回升

养殖端出栏积极性不高,生猪供应相对平稳,部分地区为促进走货进行年中促销,开工率小幅提升。不过,夏季天气炎热,居民对猪肉的消费热情偏弱,终端市场需求表现较为低迷,白条猪肉走货速度依旧较慢,需求不足限制了开工率的升幅,周内企业开工率于27.30%-28.48%区间波动。据Mysteel发布的数据显示,6月19日当周,屠宰企业开工率为27.97%,较上周上涨0.75个百分点,同比涨4.22个百分点。


来源:文华财经

发布时间:2025年6月20日 13点40分


06

习近平会见新西兰总理拉克森

6月20日上午,国家主席习近平在北京人民大会堂会见来华进行正式访问的新西兰总理拉克森。

习近平指出,建交50多年来,中新关系历经国际形势风云变幻,双方始终相互尊重、携手前行,两国关系长期走在中国同西方发达国家关系前列,给两国人民带来实实在在的福祉。在中新全面战略伙伴关系开启第二个10年之际,双方要共同推动中新关系在新的10年取得更大发展,更好造福两国人民。

习近平强调,中新双方要把合作放在双边关系中更加突出的位置,发挥互补优势,深化贸易和投资合作,挖掘科技创新、应对气候变化、基础设施等领域合作潜力,加强教育、文化、青年、民间、地方交流,丰富双边关系内涵。中新之间没有历史恩怨纠葛,没有根本利益冲突,要相互尊重、求同存异,正确看待和处理两国差异和分歧。今年是世界反法西斯战争胜利80周年和联合国成立80周年,作为战后国际秩序的建设者和维护者,中新两国要共同捍卫以联合国为核心的国际体系,维护以世界贸易组织为核心的多边贸易体制,共同维护国际公平正义,推动国际秩序朝着更加公正合理的方向发展。

拉克森表示,新中关系意义重大。2014年,习近平主席访问新西兰,双方建立全面战略伙伴关系。在两国领导人战略引领下,各领域合作蓬勃发展。新方高度重视对华关系,将继续奉行一个中国政策,愿同中方坚持相互尊重、相互理解,保持高层交往,扩大贸易、投资规模,深化农业、渔业、乳业合作,密切旅游、教育等领域人文交流,推动新中关系取得更大发展。当今世界充满不确定性,国际社会期待中国发挥更大作用。新方愿同中方积极沟通协调,维护多边贸易体制,共同应对全球挑战。新方支持中国明年举办亚太经合组织会议。

王毅参加会见。


来源:新华社

发布时间:2025年6月20日 11点10分


07

俄农产品出口发展中心主任:

2025年前5个月俄对华农产品出口增长9%

俄罗斯农产品出口发展中心主任伊利亚•伊留申在圣彼得堡国际经济论坛“俄中商务对话”上表示,2025年前5个月,俄罗斯对华农产品出口增长了9%。


  伊留申表示,俄中两国在食品贸易领域的合作顺利发展。


  伊留申说:“中国是俄罗斯农产品的最大买家,俄罗斯农产品出口总量的22%针对中国。根据截至6月1日的数据,今年俄罗斯对华农产品出口同比增长9%,达到近30亿美元。”


  伊留申补充说,今年前5个月,俄罗斯对华出口的冷冻鱼(增长19%)、菜籽油(增长48%)、甲壳类(增长15%)、禽肉(增长20%)、豌豆(增长31%)、牛肉(增长21%)和鱼片(增长75%)均大幅增长。


  伊留申还指出,猪肉出口额增长了3倍,这一增长势头得益于中国伙伴在与俄罗斯的合作中采取的建设性态度。


  伊留申表示,近年来,俄罗斯企业已获得禽肉、牛肉、猪肉、乳制品、豌豆、磨粉用谷物和饼粕等产品进入中国市场的资格,这扩大了俄罗斯对华农产品供应范围。


  3月18日,俄罗斯农产品出口中心向卫星通讯社表示,据初步统计,2024年俄罗斯对华农产品出口超830万吨,出口总值约74亿美元。在俄对华出口的农产品中出口规模位列第一的是菜籽油(13%),第二是大麦(10%),其次是葵花籽油和豌豆(各8%),大豆(7%)。中国成为2024年俄罗斯农产品主要进口国,且连续两年稳居这一地位。


来源:俄罗斯卫星通讯社

发布时间:2025年6月19日 22点43分 


08

俄农产品出口发展中心主任:

到2030年俄农产品对华出口额或增至110亿美元

俄罗斯农产品出口发展中心主任伊利亚·伊柳申在圣彼得堡国际经济论坛期间举行的“俄罗斯与中国商业对话”会议上表示,到2030年,俄罗斯农产品对华出口额可能增长到110亿美元。


  伊柳申称:“尽管近年来俄罗斯对中国的出口积极发展,但我方仍然有到2030年增加到110亿美元以上的潜力,主要是通过增加植物油的出口,扩大肉类、乳制品和成品食品品种。”


  据他介绍,这一目标将依靠国家扶持政策实现,即优惠贷款和补贴农产品向中国运输的费用。


  伊柳申指出,俄农业部驻外国代表负责推广俄罗斯农产品。他说:“中国是唯一一个派遣3名俄罗斯农业专员的国家。”


  伊柳申表示,现在俄罗斯农产品出口发展中心和俄罗斯出口中心正在制定一项联合计划,为包括中国在内的优先市场开发俄罗斯农产品销售前景。


  伊柳申说:“我相信,通过共同努力,我们将能够实现俄罗斯农产品向中国市场供应领域的潜力。”


  3月18日,俄罗斯农产品出口中心向卫星通讯社表示,据初步统计,2024年俄罗斯对华农产品出口超830万吨,出口总值约74亿美元。在俄对华出口的农产品中出口规模位列第一的是菜籽油(13%),第二是大麦(10%),其次是葵花籽油和豌豆(各8%),大豆(7%)。中国成为2024年俄罗斯农产品主要进口国,且连续两年稳居这一地位。


来源:俄罗斯卫星通讯社

发布时间:2025年6月20日 06点28分


09

中欧就电动汽车反补贴案等贸易救济案件进行磋商

财联社6月20日电,商务部部长王文涛6月19日与欧盟委员会贸易和经济安全委员谢夫乔维奇举行视频会谈,双方就电动汽车反补贴案等贸易救济案件、出口管制、市场准入等经贸议题进行了深入、专业的磋商。双方一致同意,应共同努力,相向而行,为中欧今年重要议程做好经贸准备,推动中欧经贸关系健康稳定持续发展。


来源:财联社

发布时间:2025年6月20日 13点16分


10

泰国国会主席兼下议院议长将访华

新华社北京6月20日电 应全国人大常委会委员长赵乐际邀请,泰国国会主席兼下议院议长万诺将于6月22日至28日率团访华。


来源:新华网

发布时间:2025年6月20日 11点19分


11

6月20日主产省集贸市场活牛价格环比下跌0.1%

据农业农村部监测,2025年6月20日,主产省集贸市场活牛价格每公斤26.64元,同比上涨13.1%,环比下跌0.1%。


来源:全国畜牧总站

发布时间:2025年6月20日


JIEJIA' NEWS

微信号|cccbn888

网站|news.cccbn.com


本文内容来源于已标注的公开渠道,仅作信息分享不构成任何投资建议,用户应自行判断并承担风险,若涉及版权问题请及时联系我司处理。

相关文章